Novel multimorbidity clusters in people with eczema and asthma: a population-based cluster analysis - Scientific Reports
Source : https://www.nature.com/articles/s41598-022-26357-x
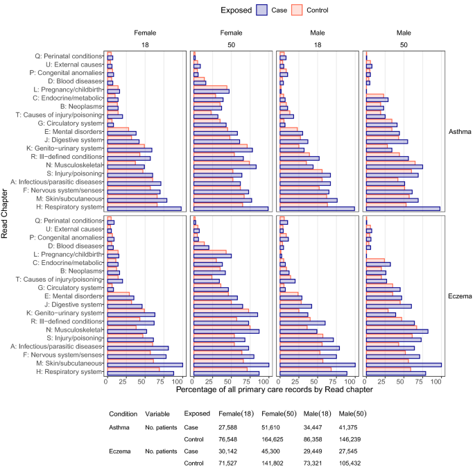
Eczema and asthma are allergic diseases and two of the commonest chronic conditions in high-income countries. Their co-existence with other allergic conditions is common, but little research exists on wider...
Discussion: Key insights from this study include associations with injury, mental health conditions and disorders of the digestive system. Our work gives a new understanding of multimorbidity in populations with eczema and asthma and suggests the need for holistic approaches in care and research.
Aetiology of occupational hand eczema in hairdressers: tackling the complexity of exposure combinations to identify patterns associated with increased risk of hand eczema - PubMed
Source : https://pubmed.ncbi.nlm.nih.gov/36495303/
Although occupational exposures in hairdressing are complex, meaningful patterns associated with a wide range of OHE risk can be identified by LCA. The increase of OHE risk seems predominantly to...
Conclusions: Although occupational exposures in hairdressing are complex, meaningful patterns associated with a wide range of OHE risk can be identified by LCA. The increase of OHE risk seems predominantly to be due to poor compliance with protective gloves.
-
Dr Hamid3yrHairdressers are exposed to wet work and manifold allergens at work, rendering exposure complex and the aetiology of occupational hand eczema often multifactorial in this occupational group
Unmet needs for patients with seborrheic dermatitis
Source : https://www.sciencedirect.com/science/article/pii/S0190962222033072
Available online 17 December 2022 Author links open overlay panel J. Mark Jackson MD Person Envelope a Andrew Alexis MD, MPH b Matthew Zirwas MD c Susan Taylor MD d...
Conclusions: Improving outcomes in SD requires recognizing patient-specific manifestations/locations of the disease, including increased awareness of how it affects people of all skin types.
-
Dr Hamid3yrSeborrheic dermatitis (SD) is a common skin disease with signs and symptoms that may vary by skin color, associated medical conditions, environmental factors
Research Techniques Made Simple: Developing and Validating QOL Outcome Measures for Skin Diseases - PubMed
Source : https://pubmed.ncbi.nlm.nih.gov/32972521/
The .gov means it's official. Federal government websites often end in .gov or .mil. Before sharing sensitive information, make sure you're on a federal government site. The site is secure....
Discussion: Researchers and clinicians should appraise the quality and appropriateness of various QOL instruments when deploying them in research and practice. QOL tools for many skin conditions and diseases exist for researchers to adopt or refine.
The role of 'Emollients Plus' in Atopic Dermatitis | CCID
Atopic dermatitis (AD) is a chronic inflammatory skin disease characterized by dry skin, intense itching, and inflammatory skin lesions, and can be highly heterogeneous in presentation. AD can present with...
